Admission |  Info Desk |  Site Map |  Careers |  FAQs |  Search |  Contact Us |  Donate | 

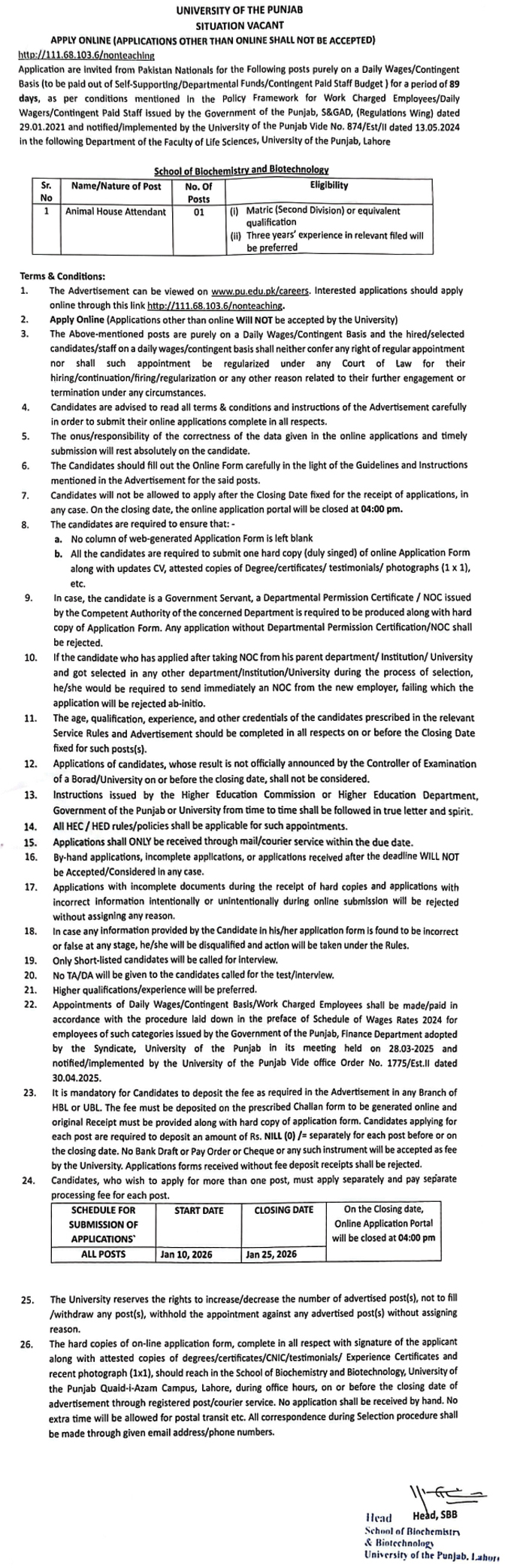
SITUATION VACANT - Animal House Attendant (posts purely on a Daily Wages / Contingent Basis)

Careers

SITUATION VACANT - Animal House Attendant (posts purely on a Daily Wages / Contingent Basis)

Job Type: SITUATION VACANT - Animal House Attendant (posts purely on a Daily Wages / Contingent Basis)
No. of Posts
Department: School of Biochemistry & Biotechnology

Apply online (applications other than online shall not be accepted)
Click here to Apply Online http://111.68.103.6/nonteaching
 

Requirement

Criteria

Closing Date
25-01-2026

Contact
 


 Back to Careers